(1) Use the given letters to write the answer:
(i) There are ‘a’ trees in the village Lat. If the number of trees increases every year by ‘b’, then how many trees will there be after ‘x’ years?
Solution:

No. of trees after ‘x’ years = a + bx

(ii) For the parade, there are ‘y’ students in each row and ‘x’ such rows are formed. Then, how many students are there for the parade in all?
Solution:

Total number of students for the parade = xy

(iii) The tens and units place of a two digit number is ‘m’ and ‘n’ respectively. Write the polynomial which represents that two digit number.
Solution:

That number is 10m + n.


(2) Add the given polynomials:
(i) \(\displaystyle x^{3} - 2x^{2}-9\); \(\displaystyle 5x^{3} + 2x+9\)
Solution:

We can solve this in two ways:

Vertical Method:

Let’s express the given polynomials in the standard form:
   \(\displaystyle x^{3} - 2x^{2}+ 0x-9\)
And, \(\displaystyle 5x^{3} + 0x^{2}+ 2x+9\)
Now, let&rsquos subtract the second polynomial from the first one.

x³ 2x² + 0x 9

+

5x³ + 0x² + 2x + 9
6x³ 2x² + 2x + 0

Answer: \(6x^{3} - 2x^{2} + 2x\)

Horizontal Method:

 \((x^{3}\ -\ 2x^{2}\ -\ 9) + (5x^{3}\ +\ 2x\ +\ 9)\)
= \(\displaystyle x^{3}\ -\ 2x^{2}\:\cancel{ -\ 9}\ +\ 5x^{3}\ +\ 2x\ \cancel{+\ 9}\)
= \(\displaystyle 6x^{3}\ -\ 2x^{2}\ +\ 2x\)

You can use any method that is used in your school.
However, we are going to use the horizontal method.

(ii) \(-\ 7m^{4}\ + \ 5m^{3}\ + \sqrt{2}\); \(5m^{4}\ - \ 3m^{3}\ +\ 2m^{2}\ +\ 3m\ -\ 6\)
Solution:

 (\(-\ 7m^{4}\ + \ 5m^{3}\ + \sqrt{2})\ +\ (5m^{4}\ - \ 3m^{3}\ +\ 2m^{2}\ +\ 3m\ -\ 6\))

= \(-\ 7m^{4}\ + \ 5m^{3}\ + \sqrt{2}\ +\ 5m^{4}\ - \ 3m^{3}\ +\ 2m^{2}\ +\ 3m\ -\ 6\)

= \(-\ 2m^{4}\ + \ 2m^{3}\ +\ 2m^{2}\ +\ 3m\ -\ 6\ +\ \sqrt{2}\)

(iii) \(2y^{2}\ + \ 7y\ +\ 5\); \(3y\ + 9\); \(3y^{2}\ - \ 4y\ -\ 3\)
Solution:

 \((2y^{2}\ + \ 7y\ +\ 5)\ +\ (3y\ + 9)\ +\ (3y^{2}\ - \ 4y\ -\ 3\))

= \(2y^{2}\ + \ 7y\ +\ 5\ + 3y\ + 9\ + 3y^{2}\ - \ 4y\ -\ 3\)

= \(5y^{2}\ + \ 6y\ +\ 11\)



(3) Subtract the second polynomial from the first:
(i) \(x^{2}\ - \ 9x\ +\ \sqrt{3}\); \(-\ 19x\ +\ \sqrt{3}\ +\ 7x^{2}\)
Solution:
Vertical Method:

Let’s express the second polynomial in the standard form:
 \(7x^{2}\ - \ 19x\ +\ \sqrt{3}\)
Now, let&rsquos subtract the second polynomial from the first one.

\(x^{2}\) \(9x\) + \(\sqrt{3}\)

\(7x^{2}\) \(19x\) \(\sqrt{3}\)
+
\(-\ 6x^{2}\) + \(10x\) + 0

Answer: \( -\ 6x^{2} + 10x\)

Horizontal Method:

 \((x^{2}\ - \ 9x\ +\ \sqrt{3})\ -\ (-\ 19x\ +\ \sqrt{3}\ +\ 7x^{2})\)

= \(x^{2}\ - \ 9x\ +\ \sqrt{3}\ +\ 19x\ -\ \sqrt{3}\ -\ 7x^{2}\)

= \(-\ 6x^{2}\ + \ 10x\)

You can use any method that is used in your school.
However, we are going to use the horizontal method.

(ii) \(2ab^{2}\ + \ 3a^{2}b\ -\ 4ab\); \(3ab\ -\ 8ab^{2}\ +\ 2a^{2}b\)
Solution:

 \((2ab^{2}\ + \ 3a^{2}b\ -\ 4ab)\ -\ (3ab\ -\ 8ab^{2}\ +\ 2a^{2}b)\)

= \(2ab^{2}\ + \ 3a^{2}b\ -\ 4ab\ -\ 3ab\ +\ 8ab^{2}\ -\ 2a^{2}b\)

= \(10ab^{2}\ + \ a^{2}b\ -\ 7ab\)



(4) Multiply the given polynomials:
(i) \(2x\); \(x^{2}\ -\ 2x\ -\ 1\)
Solution:

 \(2x\ \times\ (x^{2}\ -\ 2x\ -\ 1\))

= \(2x\times x^{2}\ -\ 2x\times 2x \ -\ 2x\times 1\)

= \(2x^{3}\ -\ 4x^{2}\ -\ 2x\)

(ii) \(x^{5}\ -\ 1\); \(x^{3}\ +\ 2x^{2}\ +\ 2\)
Solution:

 \((x^{5}\ -\ 1)\ \times\ (x^{3}\ +\ 2x^{2}\ +\ 2)\)

= \((x^{5}\ -\ 1)\ \times\ (x^{3}\ +\ 2x^{2}\ +\ 2)\)

= \(x^{5}(x^{3}\ +\ 2x^{2}\ +\ 2)\ -\ 1(x^{3}\ +\ 2x^{2}\ +\ 2)\)

= \(x^{8}\ +\ 2x^{7}\ +\ 2x^{5}\ -\ x^{3}\ -\ 2x^{2}\ -\ 2\)

(iii) \(2y\ +\ 1\); \(y^{2}\ -\ 2y^{3}\ +\ 3y\)
Solution:

 \((2y\ +\ 1)\ \times\ (y^{2}\ -\ 2y^{3}\ +\ 3y)\)

= \(2y(y^{2}\ -\ 2y^{3}\ +\ 3y)\ +\ 1(y^{2}\ -\ 2y^{3}\ +\ 3y)\)

= \(\cancel{2y^{3}}\ -\ 4y^{4}\ \bbox[yellow, 5pt, border: 2px dotted red]{+\ 6y^{2}\ +\ y^{2}}\ \cancel{-\ 2y^{3}}\ +\ 3y\)

= \(-\ 4y^{4}\ +\ 7y^{2}\ +\ 3y\)


(5) Divide the first polynomial by the second polynomial and write the answer in the form:

‘Dividend = Divisor × Quotient + Remainder’

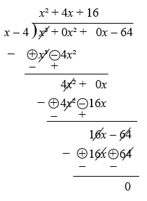
(i) \(\displaystyle x^{3}\ -\ 64\ \div\ x\ -\ 4\)
Solution:

Let’s express the dividend in the index form:
Dividend = \(\displaystyle x^{3}\ +\ 0x^{2}\ +\ 0x\ -\ 64\)

Practice Set 3.2 : Problem 5 (i) : Textbook Page 43

Now, Dividend = Divisor × Quotient + Remainder

∴ \(\displaystyle x^{3}\ -\ 64\ =\ (x\ -\ 4)\times(x^{2}\ +\ 4x\ +\ 16)\ +\ 0\)

(ii) \(\displaystyle 5x^{5}\ + \ 4x^{4}\ -\ 3x^{3}\ + \ 2x^{2}\ +\ 2\ \div\ x^{2}\ -\ x\)
Solution:

Let’s express the dividend in the index form:
Dividend = \(\displaystyle 5x^{5}\ + \ 4x^{4}\ -\ 3x^{3}\ + \ 2x^{2}\ + 0x\ +\ 2\ \div\ x^{2}\ -\ x\)

Practice Set 3.2 : Problem 5 (ii) : Textbook Page 43

Now, Dividend = Divisor × Quotient + Remainder

∴ \(\displaystyle 5x^{5} + 4x^{4} - 3x^{3} + 2x^{2} + 2\) = \((x^{2} - x)\times(5x^{3}\) + \(9x^{2}\ + 6x + 8)\) + \(8x + 2\)


(6) Write down the information in the form of algebraic expression and simplify:

There is a rectangular farm with length \(2a^{2} + 3b^{2}\) metre and breadth \(a^{2} + b^{2}\) metre. A farmer used a square shaped plot of the farm to build a house. The side of the plot was \(a^{2} - b^{2}\) metre. What is the area of the remaining part of the farm?

Solution:
Practice Set 3.2 : Problem 6 : Textbook Page 43

Area of the rectangular farm
= \(l \times b\)
= \((2a^{2} + 3b^{2}) \times (a^{2} + b^{2})\)
= \(2a^{2}(a^{2} + b^{2}) + 3b^{2}(a^{2} + b^{2})\)
= \(2a^{4} + 2a^{2}b^{2} + 3a^{2}b^{2} + 3b^{4}\)
= \(2a^{4} + 5a^{2}b^{2} + 3b^{4}\) ... (i)

and Area of the square plot
= \((a^{2} - b^{2})^{2}\)
= \((a^{2} - b^{2}) \times (a^{2} - b^{2})\)
= \(a^{2}(a^{2} - b^{2}) - b^{2}(a^{2} - b^{2})\)
= \(a^{4} - a^{2}b^{2} - a^{2}b^{2} + b^{4})\)
= \(a^{4} - 2a^{2}b^{2} + b^{4}\) ... (ii)

From (i) and (ii)
Area of the remaining part
  = Area of the farm − Area of the plot for the house
∴ Area of the remaining part
= \((2a^{4} + 5a^{2}b^{2} + 3b^{4}) - (a^{4} - 2a^{2}b^{2} + b^{4})\)
= \(2a^{4} + 5a^{2}b^{2} + 3b^{4} - a^{4} + 2a^{2}b^{2} - b^{4}\)
= \(a^{4} + 7a^{2}b^{2} + 2b^{4}\) m² ... (iii)

∴ Area of the remaining part of the farm is \(a^{4} + 7a^{2}b^{2} + 2b^{4}\) m²




This page was last modified on
27 April 2026 at 19:52

© 1976 - 2026 Patwardhan Class, All Rights Reserved
  Patwardhan Class ... First Class!!!